Introduction to Fatigue Analysis
Engineering calculations come in many flavors and must be carried out in a way that accurately describes the real-world situation. Mechanical structures can fail for a variety of reasons, one of which is by “fatiguing” which is what happens when a structure fails from repeated loading even though it was strong enough to handle a singular load of the same magnitude.
Many engineers will shy away from fatigue calculations if they can, opting to do simple static analysis and making what is presumably a large enough static factor of safety to “cover” fatigue. This may be due to a number of factors but I think it’s mostly due to the less precise nature of fatigue and the sometimes-messy calculations required to predict it.
However, this is unfortunate as many people estimate that as much as 90% of all mechanical failures occur due to fatigue.[1] Further, the manner in which fatigue failures occur is typically sudden and without warning, making them often more dangerous than static failures.[2] There is more than ample motivation to take the time to complete proper fatigue calculations in design.
Fatigue calculations are more nuanced than static structural analysis and less precise. The manner in which fatigue initiates and propagates is sensitive to more variables than that of static failure. For example, a surface defect on a shaft may act as a fatigue initiation site under high-cycle loading but would make no difference under static loading. Fatigue life has been found to depend on manufacturing methods, shape, loading style, cycles count, and many other conditions. Standard methods of calculation have been developed in an attempt to simplify the situation but these simplifications come at the expense of precision. The bottom line is that fatigue calculations performed on a preliminary basis can provide a good estimate of expected product life but physical testing is the only way to precisely determine a cycle life.
“As noted previously, it is always good engineering practice to conduct a testing program on the materials to be employed in design and manufacture. This, in fact, is a requirement, not an option, in guarding against the possibility of a fatigue failure.”[4]
Luckily, the process of performing proper fatigue calculations can be at least partially automated allowing for ease of use and reducing calculation errors. In a short series of articles starting with this one, I will cover the basics of fatigue analysis in several categories. These categories are as follows:
- Simple Fatigue, a refresher
- Fatigue of bolted joints
- Fatigue of weldments
- Miners Rule & Physical Testing
Simple Fatigue, A refresher
Let’s begin with a brief refresher on how to properly perform basic fatigue calculation using a single widely applicable method. One of the key responsibilities of an engineer is to understand the limitations of the method of analysis he has selected. One of the goals of an engineer is to perform the analysis as simply as he can while still providing an adequate and SAFE design. The emphasis on product safety cannot be understated.
The engineer must have many tools of analysis in his toolbelt and know how and when to use them. This refresher will cover the most common method of simple fatigue analysis, which has limited scope. Notable common cases that are outside of the scope of this method include the following:
- Low cycle fatigue (less than 1000 cycles)
- Fatigue of weldments
- Fatigue in corrosive environments
- Fatigue in extreme vibration environments
- Fatigue of non-isometric materials and composites
- Fatigue where Hertzian contacts are involved
The scope of this refresher on fatigue excludes short cycle life calculations as it is geared towards design. In design, an engineer is typically aiming to provide a long fatigue life rather than a short fatigue life. In other words, if an engineer has made a design that has a short fatigue life (i.e. less than 1000 cycles), he has usually made a few other mistakes and may have an unhappy customer.
It is a common misconception that the fatigue analysis of welded structures may proceed in the same way as any other type of fatigue calculation. This is emphatically NOT THE CASE. Numerous studies have been conducted and the weight of evidence is clear that fatigue of welds is categorically different than fatigue of structures manufactured with other traditional methods such as machined, cast, forged, etc. An engineer, and specifically the end user, may be in for a BIG SURPRISE if they are not aware of this fact.
NOW, ON TO THE REFRESHER!
What is known as the stress-life method of estimating a fatigue life is fundamentally based on relating real-world loading scenarios to classic rotating specimen tests using various approximations and correction factors. This calculation is comprehensively outlined in Shigley’s Mechanical Engineering Design (commonly referred to as “Shigley” by many engineers). This calculation method follows along with Shigley and uses seven steps as outlined below:
- Load characterization
- Static Analysis
- Material properties
- Calculate the fully corrected endurance strength
- Calculate fatigue safety factors
- Interpret Results
An engineer will quickly find that other methods of fatigue calculation, while they are more accurate, require additional information about materials that is often more difficult to come by, or may not even be available. These methods include the Strain-Life Method and the Linear-Elastic Fracture Mechanics Method. Because of this, and because of its capability of delivering useful results that cover a very broad range of scenarios, the stress-life method is the most wide-spread fatigue calculation and the method that is covered here.
1) Load characterization
Load characterization is important as the first step as it allows the engineer to determine if a fatigue analysis is appropriate and further if the stress-life method can be expected to yield reasonably accurate results. The important points to remember here are how to count cycles, how to determine which load scenarios are the most realistic worst-case for fatigue, and finally how to reduce those load cycles to calculated values that can be used to estimate fatigue life.
The easy way to remember how to count cycles in fatigue is by remembering that the stress-life method is fundamentally based on rotating specimens in pure bending. This means that a single cycle is what a rotating specimen experiences in a single revolution on the famous R. R. Moore machine. Specifically, a fully reversed cycle of tension and compression. This means that load scenarios where a load is only applied and removed represents ½ cycles each time a load is applied.[5]
Next it is important to characterize the most realistic worst-case load scenarios for fatigue. In order to do this, an engineer must understand the fundamental principle that the greater the load variance, the more fatigue damage will generally accumulate per cycle. And further, fatigue generally happens in tension so the greater the load variance into tension, the greater the risk of fatigue.
“Fatigue failures appear to be tensile failures, or at least to be caused by tensile stress, and so anything that reduces tensile stress will also reduce the possibility of a fatigue failure.”[6]
This load variance principle can even be seen in beach-mark patterns on many fatigue specimens. Note that the beach-marks start out small when there is still a great deal of material to develop stresses in. As fatigue progresses however, there is less material so the same load produces higher stresses and the size of the beach-marks increases until catastrophic failure occurs. Using this principle an engineer must think about the load scenarios that the product will experience. If the engineer is dealing with a product that is either already in use or for which there is an analogous product in use, they can observe how that product is actually used to determine the most realistic fatigue loading scenarios. In the alternative, an engineer will need to conceptualize how an end user will use and potentially abuse a product and use this understanding to inform themselves of how to properly model fatigue.
Finally, it is important to characterize the fluctuating stresses which is traditionally done by breaking them down into an alternating component and a midrange component. Remember that because the stress-life method is fundamentally based on approximating the fatigue life of a real-world scenario by comparing it to a highly polished rotating specimen in a lab, the real-world fluctuating stress is approximated as a sinusoidally varying load. When characterizing fluctuating loads, “the shape of the wave is not important, but the peaks on both the high side (maximum) and the low side (minimum) are important.”[7] Shigley provides the following simple formulas that illustrate how to convert loads into their component parts.
Fmax – the maximum force in the load scenario
Fmin – the minimum force in the load scenario
Fm – the midrange force component
Fa – the alternating force component
2) Static Analysis
The worst-case loads then need to be plugged into a standard static analysis protocol to determine the stresses they produce in the structure being analyzed. Note that static analysis is outside of the scope of this refresher but can be done by any suitable method that produces accurate stress values. If you’re lucky then what you’re analyzing is simple enough that hand calculations will suffice but if you’re operating in the real world this will almost certainly involve FEA.
In performing this analysis, the maximum tension/compression stresses are required as this is what matches the rotating beam specimen. A common problem can arise when engineers use the Von-Mises stress in fatigue calculations as it is extremely useful in predicting static failure of ductile materials. However, this leads to an interesting problem when it is necessary to get a stress range between tension and compression when both produce positive Von-Mises stresses. This can lead an engineer to consider a non-sensical negative Von-Mises stress to try to describe the stress range appropriately. It should be noted that using the Von-Mises stress this way does not usually degrade the accuracy of stress calculations significantly even if used in this way as long as the engineer is careful to apply signs correctly. Von-Mises stress is perfectly fine for scenarios that don’t involve compression and is even recommended for combination loading in fatigue calculations.[9]
Most FEA simulation systems will allow a user to select principal stresses instead of Von-Mises stresses which can be used to determine the maximum tension and compression anticipated. This will tend to be conservative (but not terribly so) as the orientation of the principal stresses will not necessarily be the same between loading conditions but it remains more than adequate. By the time an engineer reaches this point, they should be able to chart out fluctuating stress patterns like the following figure from Shigley:
|
|
|
|
σmin – minimum stress σmax – maximum stress σa – alternating component |
σm – midrange component σr – stress range |
3) Material Properties
It is very common for information to be scarce for an engineer and this is especially true when it comes to fatigue data for materials. It is not uncommon for an engineer to be faced with a situation where they need to assess the feasibility of a component and it can be difficult to even find the yield strength for a particular alloy. The parameter of interest for this step is a materials fatigue strength. However, what a materials fatigue strength means must be very carefully scrutinized. Generally, a fatigue strength by itself is nearly useless for calculations. An engineer must also know the cycles count that corresponds to the reported fatigue strength.
Unwelded steels are generally the only common alloys found to be capable of exhibiting true endurance limit behavior, meaning having a stress below which a fatigue failure will theoretically never occur regardless of the number of cycles.[11] Although an endurance limit may be reported for other materials (aluminum for instance) these limits are usually based on a very high number of cycles that is said to approximate infinite cycles rather than an actual knee in the S-N diagram.
For ease of reference, some common fatigue data sources are as follows:
- Shigley 7E or 9E, tables A-24, A-26, A-27
- https://www.efatigue.com/
- http://www.matweb.com/
- physical testing, if necessary
If the structure being analyzed is made of steel, and specific fatigue data cannot be located, the endurance limit is traditionally approximated using the following formula:
|
|
|
Se‘ – the uncorrected endurance limit for the particular steel alloy Sut – ultimate tensile strength |
4) Calculate the fully corrected endurance limit
By this point we have the uncorrected fatigue strength. This would be the fatigue strength if everything else about our loading scenario matches the fatigue test exactly. Since this is almost never the case, and fatigue is significantly affected by a litany of parameters, the next step is to calculate correcting factors to allow us to determine the fully corrected fatigue strength for the particular situation. This part in particular is where practical fatigue calculations become approximate rather than precise. Consequently, this is also primarily why physical testing is absolutely necessary to know a products fatigue life precisely.
Various approaches have been explored to describe the reduction in fatigue strength due to various conditions. Fatigue has been found to be sensitive to conditions such as surface finish, plating, temperature, and even shape. Shigley gives a place to start to estimate the effect of common conditions. The fully corrected endurance limit of a material is traditionally calculated as follows:
|
|
|
ka – surface condition factor kb – size factor kc – load factor kd – temperature factor ke – reliability factor kf – miscellaneous-effects factor S‘e – uncorrected endurance limit Se – corrected endurance limit |
It is important to know the conditions for the source used for the uncorrected fatigue strength. Some sources may include effects for parameters covered by the above factors. If so, an engineer must be careful not to double apply a correction. The calculation for each factor above is included here for the sake of reference only.
Special care must be taken with ka depending on where the uncorrected endurance limit came from. If the uncorrected endurance limit already included the effects of surface finish, then ka must be set to 1.
The size factor is calculated for round bars as follows:
|
|
For bending and torsion |
|
|
For axial loads |
For non-round bars an equivalent diameter (de) must be calculated. On a cross section this is done by finding the area of material that is at or above 95% of the maximum stress and finding the diameter of a round specimen with the same area under the same loading condition.[19] Shigley provides some formulas for common shapes. [20]
The load factor kc is calculated using the following formula. Note that when a structure is under combination loading, for instance, torsion and bending, then kc is set to 1. The torsion factor of 0.59 is only for pure torsion scenarios.
The temperature factor kd is intended to accommodate the variance of material properties, specifically tensile strength, due to temperature. If the temperature-corrected tensile strength is used, kd can be set to 1.[22] Otherwise Shigley provides a guideline for steels.[23]
The reliability factor ke is used to account for variance in fatigue data. A more rigorous approach would require explicitly considering the variance in actual fatigue data but Shigley provides a rough guideline that is helpful for initial fatigue life estimates.
[24] (written for 8% variance)
I note a few important points to consider for kf as being the catch-all factor it deserves special discussion. Shigley notes some of the following factors as examples.
“Operations such as shot peening, hammering, and cold rolling build compressive stresses into the surface of the part and improve the endurance limit significantly. Of course, the material must not be worked to exhaustion.”[26]
In the case of these processes, kf may be greater than 1 but that must be validated by data and/or testing. It is also important to note that due to the change in material properties, surface hardening treatments may push the fatigue initiation site down to the softer core material[27] so this area must also be considered if that’s the case.
Shigley cites at least the following factors to consider in determining the miscellaneous effects factor kf.
- Corrosive environments (for which there generally is no fatigue limit)[28]
- Electrolytic plating (plating’s other than zinc have been shown to reduce the endurance limit by as much as 50%)[29]
- Metal spraying (which may reduce the endurance limit by 14%)[30]
- Cyclic frequency (generally significant in corrosive or high temperature environments) [31]
The notch sensitivity “q” discussed in Shigley is often ignored and often misunderstood. The notch sensitivity factor is used to account for stress concentrations at discontinuities and specifically is used to describe the phenomena that some materials are not fully sensitive to stress concentrations in fatigue, especially for very small notch radii. Because data for this type of discontinuity is extremely limited and because applying the notch sensitivity factor is non-conservative, an engineer may elect to use q = 1 (meaning the full calculated stress concentration is used). However, if there is a product that is in a huge bind, and the fatigue safety factor is very close, additional work may be done to determine if the notch sensitivity factor will make the difference or not. Notch sensitivity may work out to reduce the stress used for fatigue calculation significantly in special scenarios. Shigley offers more discussion on notch sensitivity including calculations.[32]
Once all of the modifying factors are calculated. We are now able to calculate our fully corrected endurance limit (the end goal of this step) and use that to evaluate fatigue safety factors.
5) Calculate fatigue safety factors
At this point we are finally ready to predict the cycle life of a component. Fatigue safety factors are calculated differently for finite life vs “infinite” life as well as for ductile materials vs. brittle materials. Various criteria have been advanced and are briefly discussed here for review.
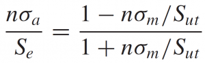
- Soderberg (the simplest and most conservative, the only method which eliminates the possibility of first cycle yielding)
- ASME-elliptic (most accurate approach)[33] *this is the criteria I always recommend
- Modified Goodman (simple but not conservative, especially with higher midrange stress)
- Gerber parabola (least conservative)
- First cycle yielding (do not forget to check for this as it is a very real possibility)
Note that the chart above clearly demonstrates that fatigue happens in tension (first quadrant fatigue in the chart above), not generally in compression. Each criteria can be evaluated with a simple formula to calculate a safety factor on infinite life as shown below:
where:
σa – alternating stress component
σm – midrange stress component
Se – fully corrected endurance limit
Sy – yield strength
Sut – ultimate tensile strength
n – factor of safety
Not only do brittle materials (defined as εf < 0.05[36]) have different failure criteria than ductile materials under static conditions, brittle materials are also more prone to fatigue failure so they have a different fatigue failure criteria.
[37] 
[38] 
where:
σa – alternating stress component
σm – midrange stress component
Se – fully corrected endurance limit
Sy – yield strength
Sut – ultimate tensile strength
n – factor of safety
Sm – midrange component endurance limit coordinate
Sa – alternating component endurance limit coordinate
Where calculations show less than an infinite fatigue life, a finite cycle life can be estimated by back-working from the alternating and midrange stress components, to the number of cycles, to the general formula for the SN curve as long as the number of cycles calculated is greater than 1000.
where:
- N – number of cycles to failure
- σrev – completely reversed stress (or its equivalent)
- a – exponent calculated using formula 6-14 from Shigley 9E [40]
- b – exponent calculated using formula 6-15 from Shigley 9E [41]
6) Interpret Results
Considering the time and care it took to get to this point it is no wonder that so many engineers neglect to complete a proper fatigue analysis as the additional costs of time, effort and understanding are not always worth the benefit. However, the cost of a product failure down the road must be kept in mind. As the old adage goes, “there is never enough time to do it right the first time, but always enough time to do it over.” This is especially true when a product fails which may be catastrophic. Accidents are costly. They can easily be substantially more costly than rework. Again, the importance of due diligence in product development simply cannot be overstated.
It is one thing to be able to throw numbers into some formulas that produce other numbers. It is an entirely different thing to understand what these numbers mean, when to pay attention, and when they are insignificant. This understanding is critical to making the process less mistake prone as it is easier to consider where common pitfalls are and how to guard against them.
IN SUMMARY
In summary, the steps to conduct a basic fatigue analysis are as follows:
- Load characterization
- Static Analysis
- Material properties
- Calculate the fully corrected endurance strength
- Calculate fatigue safety factors
- Interpret Results
Fatigue calculations are more complicated and take significantly more time than simple static analysis. However, they are still significantly easier and less costly than doing repeated physical testing, searching blindly for a solution that will exhibit an adequate fatigue life. For this reason, it is absolutely imperative that a fatigue analysis be properly carried out for structures subject to repeated variable loading and, if precision is particularly critical, physical testing must be used to validate those calculations.
Engineering tools cannot be more effective than the level of understanding of the engineer that wields them. It is very common for an engineer to start calculations being very careful, then by the end of a long and complicated calculation to lose some of that initial rigor. It is still important to remember the limitations of calculations. Even if they are completed without mistake, they may still be invalid for other reasons. For instance, in the case of using the stress-life method, calculating a cycle life of less than 1000 cycles is an answer which cannot be trusted.
Engineering firms must consider the risks associated with the design or analysis project at hand. Risks must be reduced to acceptable levels and companies have many tools at their disposal in order to make this happen.
About the Author:
Nathan Macdonald is a licensed professional engineer (PE) and a certified safety professional in comprehensive practice (CSP). He has worked on the design and analysis of numerous products including zip lines, exercise equipment, trailers, aerial lifts, etc. He also works as an expert witness for patent and product liability cases.
[1] <https://www.efatigue.com/training/Chapter_1.pdf> accessed 11-11-2020
<https://www.totalmateria.com/page.aspx?ID=CheckArticle&site=kts&NM=142> accessed 11-11-2020
[2] Mechanical Engineering Design, Shigley 9E pg. 266
[3] <https://commons.wikimedia.org/wiki/File:Pedalarm_Bruch.jpg> accessed 1-25-2021
[4] Mechanical Engineering Design, Shigley 9E pg. 275
[5] Mechanical Engineering Design, Shigley 9E pg. 275
[6] Mechanical Engineering Design, Shigley 9E pg. 293
[7] Mechanical Engineering Design, Shigley 9E pg. 300
[8] Mechanical Engineering Design, Shigley 9E pg. 300
[9] Mechanical Engineering Design, Shigley 9E pg. 317
[10] Mechanical Engineering Design, Shigley 9E pg. 301
[11] Although modern testing shows this previous theory may not necessarily be true in reality. <https://www.efatigue.com/constantamplitude/background/stresslife.html> accessed 1-13-2021
[12] Mechanical Engineering Design, Shigley 9E pg. 274, annotated S-N plot for UNS G41300 steel. Note the change of behavior around 1000 cycles demonstrates the difference between low-cycle and high-cycle fatigue.
[13] Mechanical Engineering Design, Shigley 9E pg. 282
[14] Mechanical Engineering Design, Shigley 9E pg. 287
[15] Mechanical Engineering Design, Shigley 9E pg. 287
[16] Mechanical Engineering Design, Shigley 9E pg. 288
[17] Mechanical Engineering Design, Shigley 9E pg. 288
[18] Mechanical Engineering Design, Shigley 9E pg. 288
[19] Mechanical Engineering Design, Shigley 9E pg. 289
[20] Mechanical Engineering Design, Shigley 9E pg. 290
[21] Mechanical Engineering Design, Shigley 9E pg. 290
[22] Mechanical Engineering Design, Shigley 9E pg. 292
[23] Mechanical Engineering Design, Shigley 9E pg. 290-292
[24] Mechanical Engineering Design, Shigley 9E pg. 292
[25] Mechanical Engineering Design, Shigley 9E pg. 293
[26] Mechanical Engineering Design, Shigley 9E pg. 293
[27] Mechanical Engineering Design, Shigley 9E pg. 293
[28] Mechanical Engineering Design, Shigley 9E pg. 294
[29] Mechanical Engineering Design, Shigley 9E pg. 294
[30] Mechanical Engineering Design, Shigley 9E pg. 294
[31] Mechanical Engineering Design, Shigley 9E pg. 294
[32] Mechanical Engineering Design, Shigley 9E pg. 295
[33] < https://eis.hu.edu.jo/ACUploads/10526/CH%206.pdf> accessed 1-13-2021
[34] Mechanical Engineering Design, Shigley 9E pg. 305
[35] Mechanical Engineering Design, Shigley 9E pg. 306
[36] Mechanical Engineering Design, Shigley 9E pg. 238-239
[37] Mechanical Engineering Design, Shigley 9E pg. 314
[38] Mechanical Engineering Design, Shigley 9E pg. 315, *only for cast iron
[39] Mechanical Engineering Design, Shigley 9E pg. 285
[40] Mechanical Engineering Design, Shigley 9E pg. 285
[41] Mechanical Engineering Design, Shigley 9E pg. 285
[42] ANSI B11.TR3 2000, pg. 10, *annotated













